Products
Online Inquiry

Please note that we are not a pharmacy or clinic, so we are unable to see patients and do not offer diagnostic and treatment services for individuals.

PI3K/Akt/mTOR-Targeted Compounds

Inquiry
PI3K/Akt/mTOR-Targeted Compounds Targets Applications Advantages Publication FAQs

Overview

Fig.1 Overview of PI3K/Akt activation and signalling. Fig.1 PI3K/Akt activation and signalling. (Camaya, et al., 2022)

The PI3K/Akt/mTOR signaling pathway plays a crucial role in the study of obesity and related metabolic diseases. This pathway not only regulates cell growth, proliferation, and metabolism, but is also closely related to the core mechanisms of obesity, such as insulin resistance and fat accumulation. By regulating the PI3K/Akt/mTOR signaling pathway, obesity-related metabolic disorders are effectively ameliorated, providing new strategies and drug targets for obesity management. Protheragen provides a series of PI3K/Akt/mTOR-related compounds for high-throughput screening and mechanism studies in obesity research and related fields.

PI3K/Akt/mTOR-related Products Hold Unlimited Possibilities

Features

Our PI3K/Akt/mTOR-related compound products cover a wide range of inhibitors and activators targeting key nodes of this signaling pathway, including but not limited to PI3K inhibitors, Akt inhibitors, mTOR inhibitors, and compounds capable of modulating molecules upstream and downstream of the pathway. These products undergo stringent quality control and biological activity validation to ensure stability and efficacy in research experiments.

(Source: Bioicons, free)

Activators

(Source: Bioicons, free)

Agonists

(Source: Bioicons, free)

Inhibitors

(Source: Bioicons, free)

Natural Products

Taegets

These compounds offered by our company are suitable for the study of obesity, metabolic disorders, diabetes, and other diseases.

5-alpha Reductase 5-HT receptor Akt Annexin A
Anti-infection Antioxidant Antiviral Apoptosis
Aromatase ATM/ATR ATPase Axl
Beta-Amyloid Calcium channel cAMP Cannabinoid receptor
Casein kinase Chloride channel cholecystokinin c-Kit
c-Met c-Met/HGFR COX CRISPR/Cas9
Dehydrogenase DNA/RNA synthesis DNA-PK Dopamine receptor
DPP DYRK EGFR Endothelin receptor
Epigenetic reader domain ERK Estrogen receptor/ERR Ferroptosis
FGFR FKBP FLT3 Free radical scavengers
Gamma-secretase Glucocorticoid receptor GNRH receptor GPR
GSK-3 GTPase Guanylate cyclase HBV
Hedgehog/Smoothened HER2 HIV protease HSP
IGF-1R IL receptor Immunology & Inflammation Influenza virus
IRE1 Kinesin Leukotriene receptor Lipoxygenase
MAPK Melanocortin receptor Melatonin receptor MELK
Mitophagy MMP MT receptor mTOR
MyD88 Myosin NF-κB Opioid receptor
Oxytocin receptor P2Y receptor p38 MAPK P450
Phosphatase PAFR PARP PDGFR
Pim Porcupine Potassium channel PTEN
ROS ROS Kinase SARS-CoV Serotonin transporter
SGLT Sigma receptor STAT TLR
TNF Trk receptor Tyrosinase VEGFR
Virus protease Wnt/beta-catenin Nucleoside analog/Antimetabolite

Applications

  • Metabolic Disorders Research: Our products can be used to regulate lipid metabolism, insulin sensitivity, etc., to study metabolic disorders caused by obesity.
  • High-Throughput Screening: We provide libraries of compounds for high-throughput screening to rapidly identify potential anti-obesity drugs.
  • Obesity and Metabolic Research: Our products can be used to explore the mechanism of PI3K/Akt/mTOR signaling pathway in obesity, diabetes, metabolic syndrome, and other diseases.

Advantages of Us

Rich Selection of Compounds

Our lab provides a wide range of compounds covering key targets such as PI3K, Akt, mTOR, etc., which meet different experimental needs and support high-throughput screening and functional studies.

Flexible Specifications & Formats

We offer multiple specifications and dissolution forms to facilitate user selection based on experimental requirements, ensuring efficient and convenient experimental preparation.

Dedicated Research Support

Our experienced research team provides timely, professional troubleshooting and technical consultation services, standing ready to assist clients in resolving issues encountered during their research.

Publication

Title: A novel lnc-RNA, named lnc-ORA, is identified by RNA-Seq analysis, and its knockdown inhibits adipogenesis by regulating the PI3K/AKT/mTOR signaling pathway

Journal: Cells, 2019

DOI: https://doi.org/10.3390/cells8050477

Summary: In this study, we identified lnc-ORA, a novel obesity-associated lncRNA, for the first time and revealed its important role in adipogenesis. By regulating the PI3K/AKT/mTOR signaling pathway, lnc-ORA promotes preadipocyte proliferation and adipocyte differentiation. These findings not only extend our understanding of the regulatory network of lncRNAs in adipogenesis, but also provide new potential targets for the treatment of obesity-related metabolic diseases.

Fig.2 Validation of the differentially expressed lncRNAs by qPCR. Fig.2 Validation of lncRNA differential expression. (Cai, et al., 2019)

Customer Review

Targeted Insulin Signal Resolution
"We utilized Protheragen's PI3K/Akt/mTOR compound library to investigate insulin resistance and compensatory signaling mechanisms. The library's diverse range of specific inhibitors enabled precise resolution of key points within insulin signaling pathways, facilitating subsequent mechanistic studies."— Prof. J* K***

High Selectivity Assurance
"Many molecules in Protheragen's compound library exhibit high selectivity and provide detailed kinase activity data. This ensures we can screen for effective PI3K/Akt/mTOR pathway inhibitors while minimizing non-specific cytotoxicity."— C. D* E***

Frequently Asked Questions

  1. How to choose the right compound?

    Select the right compound according to your experimental needs, e.g., an inhibitor or activator for a specific target, and refer to the IC50 value and activity description of the compound.

  2. What are the stability and storage conditions of these compounds?

    All our products have been tested for stability and are accompanied by detailed instructions for storage conditions. Please strictly follow the storage conditions in the instructions to ensure the stability and effectiveness of the products.

  3. Does this compound library contain modulators with specific activity against different PI3K subtypes?

    Yes. The PI3K family comprises multiple subtypes that play distinct roles in insulin signaling, inflammation, and cell growth. Our library specifically includes modulators with high subtype selectivity. This is crucial for investigating the unique contributions of specific PI3K subtypes to obesity-related inflammation and insulin resistance.

Protheragen is confident that our PI3K/Akt/mTOR-related compounds will be your right hand in obesity research. If you have any questions or need further information, please feel free to contact us. We are committed to providing high-quality compounds and professional technical support to our clients worldwide.

References

  1. Cai, R.; et al. A novel lnc-RNA, named lnc-ORA, is identified by RNA-Seq analysis, and its knockdown inhibits adipogenesis by regulating the PI3K/AKT/mTOR signaling pathway. Cells. 2019, 8(5): 477. (CC BY 4.0)
  2. Camaya, I.; et al. Targeting the PI3K/Akt signaling pathway in pancreatic β-cells to enhance their survival and function: an emerging therapeutic strategy for type 1 diabetes. Journal of Diabetes. 2022, 14(4): 247-260. (CC BY 4.0)

PI3K/Akt/mTOR-Targeted Compounds

By Target
By Receptor
By Identity
By Formulation
By Solubility
PIK-93 (OB0225LY-0088)
  • CAS No.: 593960-11-3
  • Pathways: PI3K/Akt/mTOR signaling; Metabolism; Microbiology/Virology; DNA damage/DNA repair
  • Targets: PIK; PI3K-like kinases (PIKK)
  • Receptors: ATM; C2β; DNA-PK; hsVps34; mTORC1; p110α; p110β; p110γ; p110δ; PI3K; PI3KIIIβ; PI4K; Virus protease
PIK-93
BIO-acetoxime (OB0225LY-0090)
  • CAS No.: 667463-85-6
  • Pathways: PI3K/Akt/mTOR signaling; Microbiology/Virology; Stem cells; Apoptosis
  • Targets: GSK-3 family
  • Receptors: GSK-3α; GSK-3β
BIO-acetoxime
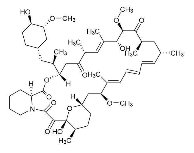
Rapamycin (OB0225LY-0235)
  • CAS No.: 53123-88-9
  • Pathways: PI3K/Akt/mTOR signaling; Metabolism; Autophagy; Microbiology/Virology
  • Targets: PIKK family
  • Receptors: FKBP; mTOR
Rapamycin
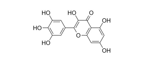
Quercitrin (OB0225LY-0277)
  • CAS No.: 522-12-3
  • Pathways: PI3K/Akt/mTOR signaling; Autophagy; Metabolism; Immunology/Inflammation; NF-κB; MAPK
  • Targets: Reactive oxygen species; S6 Kinase
Quercitrin
CC214-1 (OB0225LY-0288)
  • CAS No.: 1021920-32-0
  • Pathways: PI3K/Akt/mTOR signaling; Autophagy
  • Targets: PI3K/Akt/mTOR pathway
  • Receptors: mTOR
CC214-1
MK-2206 dihydrochloride (OB0225LY-0298)
  • CAS No.: 1032350-13-2
  • Pathways: PI3K/Akt/mTOR signaling; Apoptosis; Autophagy; Cytoskeletal signaling
  • Targets: Akt family
  • Receptors: Akt1; Akt2; Akt3
MK-2206 dihydrochloride
OSI-027 (OB0225LY-0300)
  • CAS No.: 936890-98-1
  • Pathways: PI3K/Akt/mTOR signaling; Autophagy; DNA damage/DNA repair
  • Targets: PIKKs; PI3K/Akt/mTOR pathway
  • Receptors: DNA-PK; mTORC1; mTORC2; PI3Kγ
OSI-027
Myricetin (OB0225LY-0302)
  • CAS No.: 529-44-2
  • Pathways: PI3K/Akt/mTOR signaling; Autophagy; Metabolism; Apoptosis
  • Targets: PI3K family
  • Receptors: PI3Kγ
Myricetin
Omipalisib (OB0225LY-0308)
  • CAS No.: 1086062-66-9
  • Pathways: PI3K/Akt/mTOR signaling; Autophagy
  • Targets: PI3K/Akt/mTOR pathway
  • Receptors: mTORC1; p110α; p110β; p110γ; p110δ
Omipalisib
TWS119 (OB0225LY-0310)
  • CAS No.: 601514-19-6
  • Pathways: PI3K/Akt/mTOR signaling; Autophagy; Stem cells
  • Targets: GSK-3 family
  • Receptors: GSK-3β
TWS119
Inquiry
0
Inquiry Basket

Copyright © Protheragen. All rights reserves.